Page 12 - Sea-level change_2004
P. 12
ARTICLE IN PRESS
1980 K. Lambeck, A. Purcell / Quaternary Science Reviews 24 (2005) 1969–1988
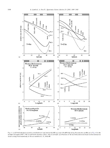
Fig. 6. (a–d) Predicted glacio-isostatic contributions to sea level at 6 ka BP (a,c) and 12 ka BP (b,d) along the same two profiles as in Fig. 4 for the
northern European (NE-1, NE-2) and North American (NA-1, NA-2) ice loads. (e,f) Precision of the sea-level predictions based on the nominal ice
model arising from uncertainty in the ice models at 6, 12, 20 ka BP.

