Page 7 - Ragonese_Bianchini_1996
P. 7
S. RaRonese. M.L. Bianchini l Fisheries Research 26 ( 1996) 125-137 131
Table 2
Resolution of the length frequency distributions according the MIX method, for Aristeus antennatus
Season Group MIX MPA
Carapace length (mm) Carapace length
(mm)
7T' Mean SE x o df p 7To Mean
Spring 1986 0.41 43.0 1.2 0.47 43.5
II 0.58 53.8 l. O 0.52 54.2
3.2 9 0.96
Summer 0.36 29.3 0.5 0.35 29.2
1986 II 0.46 44.4 0.5 0.47 44.6
III 0.13 55.8 1.3 0.15 56.3
IV 0.05 62.9 1.6 0.02 64.3
11.8 14 0.62
Autumn 1986 0.67 .B. l 0.2 0.68 33.1
Il 0.22 45.3 1.9 0.25 46.4
Ili 0.11 53.4 2.7 0.07 54.4
7.1 9 0.62
Winter 1987 0.78 38.9 0.4 0.82 39.4
li 0.22 50.8 1.4 0.17 51.7
III 0.01 58.7
14.2 14 0.43
0
7T • Group propmtion in numbers; SE, standard error ofthe mean; y, chi-square statistic; df. degree of freedom;
P, probability leve!.
The application of the ELEFAN-I results in two satisfactory (both Rn above 0.5) and
plausible scenarios (Fig. 3): 'fast' growth, with CLx=61 mm and K=0.74, and 'slow'
growth, with CL,= 74 mm and K = 0.45 ( other descriptive statistics and those correspond-
70
60
e
E
....
~ 50
"'
'" •
c:
..
~
" .. 40
CL
i!
"' u
30
20
0.5 1.5 2.5 3.5 4.5
Putative absolute age (y)
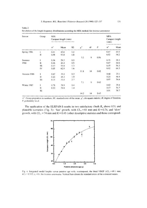
Fig. 4. Intcgratcd moda! lengths versus putative age with, overimposed, the fìtted VBGF (CL,.= 69.1 mm;
K h·= 0.532; r, =O), for Arisreus <llllemwtus. Yertical bars denote the standard errors of the estimated means.

