Page 4 - Invasive_rats_2009
P. 4
1634 L. Ruffino et al.
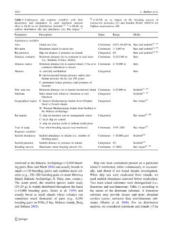
Table 1 Explanatory and response variables with their M = GLMs on rat impact on the breeding success of
description and integration in each statistical analysis Calonectris diomedea (C) and Kruskal–Wallis ANOVA for
(Rats = GLM on rat distribution; Seabirds D, A = GLMs on Puffinus mauretanicus (M)
seabird distribution (D) and abundance (A); Rat impact C,
Parameters Description Status Range GLMs
Explanatory variables
Area Island area (ha) Continuous 0,021–69,439 ha Rats and seabirds (A, D)
Elevation Maximum island elevation (m) Continuous 3–1,445 m Rats and seabirds (A, D)
Rat presence Ship rat absence or presence on islands Categorical 0/1 Rats and seabirds (A, D)
Distance continent Minimum distance (m) to continent or land mass Continuous 5–245,300 m Rats
(i.e., Sardinia, Corsica, Sicilia)
Distance source Minimum distance (m) to nearest island[5ha or to Continuous 2–70,000 m Rats
continent (whichever is closer)
Humans A: currently uninhabited Categorical Rats
B: rare/occasional human presence and/or past
human presence (in the last 100 years)
C: permanent human presence (and presence of
tourism)
Dist. near rats Minimum distance (m) to nearest rat-infested island Continuous 2–67,000 m Seabirds (A, D)
Substrate Main island rock substrate: limestone or non- Categorical Seabirds (A, D)
limestone
Geographical region E: Eastern Mediterranean islands from Gibraltar Categorical Rat impact (C)
Strait to French islands
W: Western Mediterranean islands from Sardinia to
the Maltese archipelago
Rat impact Y: ship rat presence and no management action Categorical Rat impact (C, M)
C: local ship rat control
A: ship rat absence (with or without eradication)
Year of study Year when breeding success was monitored Continuous 1979–2007 Rat impact (C)
Response variables
Seabird abundance Seabird abundance on islands (i.e., number of Continuous 1–25,000 pairs Seabirds (A)
breeding pairs)
Seabird presence Seabird absence or presence on islands Categorical 0/1 Seabirds (D)
Breeding success Shearwater mean breeding success (%) Continuous 0–100% Rat impact (C, M)
restricted to the Balearic Archipelago (\2,000 breed- Ship rats were considered present on a particular
ing pairs; Ruiz and Martı ´ 2004) and usually breeds in island if mentioned, either continuously or occasion-
small—(\30 breeding pairs) and medium-sized col- ally, and absent if not found despite investigation.
onies (e.g., 250–300 breeding pairs on main Menorca When ship rats were eradicated from islands, we
Island, Balearic Archipelago, R. Triay, pers. comm.). used seabird abundance assessed before eradication.
The storm petrel, the smallest species under study Two main island substrates were distinguished (i.e.,
(25–29 g), is widely distributed throughout the basin limestone and non-limestone; Table 1) according to
([15,000 breeding pairs, Zotier et al. 1999) and the nature of the dominant substrate. A limestone
usually breed in small islands where colonies can substrate may provide deeper and more abundant
sometimes reach thousands of pairs (e.g., 6,550 cavities (caves, crevices) than non-limestone sub-
breeding pairs on Filfla (2 ha), Maltese islands, Borg strates (Martin et al. 2000). For rat distribution
and Sultana 2002). analysis, we considered continents and islands C5ha
123

