Page 5 - Caruso_Zaccone_2000
P. 5
LAP ACTIVITY IN AQUATIC ECOSYSTEMS 955
off-
and
area), ~)
(Southern
60 (~,
15
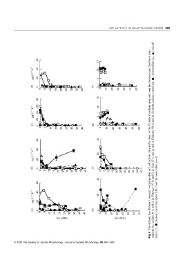
µg C l –1 h –1 40 20 10 5 coast Ancona intermediate &),
(d) 0 (h) 0 0 the (&,
0 5 10 20 30 40 50 60
10 15 20 25 30 35 40 near coastal
and
80 15 indicate
area)
60
µg C l –1 h –1 40 10 (Northern Symbols
20 5 delta h). and
(c) 0 (g) Po (d
0 5 10 15 20 25 30 35 40 0 0 10 20 30 40 50 60 the 98
of
front February
60 40
in in and
µg C l –1 h –1 40 20 20 detected activity g) and (c (n 3)
LAP 97 June
(b) 0 (f) 0 value
0 5 10 15 20 25 30 35 40 45 50 0 5 10 15 20 25 30 35 40 45 50 of in f),
pro®les and mean
40 the
vertical 97 from
60 (b
µg C l –1 h –1 40 20 20 project): 2 February in S.D. show
(Prisma e), and bars
(a) 0 0 5 10 15 20 25 30 35 40 45 (e) 0 0 10 20 30 40 50 60 70 Sea (a 96 error
Adriatic June in stations;
Depth (m)
Depth (m)
The respectively, W) (*,
Fig. 4 shore
= 2000 The Society for Applied Microbiology, Journal of Applied Microbiology, 89, 951ÿ959

