Page 8 - Piano_tutela_acque_Egadi
P. 8
PIANO DI TUTELA DELLE ACQUE DELLA SICILIA ISOLE EGADI
SISTEMA DI MONITORAGGIO QUALI – QUANTITATIVO DEI CORPI IDRICI
E RELATIVA CLASSIFICAZIONE
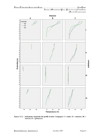
Stazione
A B C
0
transetto
5
80
10
81
15
20 82
25 I
30
35
40
45
50
0
5
10
15
20
25 II
30
35
40
Profondità (m) 50 0 campagna
45
10 5
15
20
25 III
30
35
40
45
50
0
5
10
15
20
IV
25
30
35
40
45
50
15 20 25 15 20 25 15 20 25
Temperatura (°C)
Figura 3.1.2 - Andamento stagionale dei profili termici. Campagne: I = estate; II = autunno; III =
inverno; IV = primavera
REGIONE SICILIANA - SOGESID S.P.A. dicembre 2007 Pagina 6

