Page 200 - ValutazioneRiservaIsoleEgadiVASTA-EGADI
P. 200

14                 Marettimo  UA4
12                            UA4
10               UA2 UA3
                    Levanzo
  8
  6              UA2 UA3
  4
  2
  0

            UA1

20
15
10

 5
 0

            UA1

15                 Favignana  UA4
                 UA2 UA3
10

 5

 0
            UA1

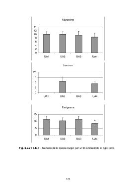
Fig. 3.2.21 a-b-c – Numero delle specie-target per unità ambientale di ogni isola.

                 172
   195   196   197   198   199   200   201   202   203   204   205